Le dépistage d’une atteinte coronaire par épreuve d’effort (EE) concerne deux grands groupes de patients. D’une part les patients asymptomatiques et en prévention primaire de la maladie coronaire, quel que soit leur risque cardiovasculaire individuel (y compris, donc, les patients diabétiques), chez qui l’objectif du test est mettre en évidence une maladie coronaire jusque-là méconnue. D’autre part les patients ayant une maladie coronaire avérée, notamment ceux ayant déjà présenté un infarctus du myocarde, actuellement asymptomatiques ou avec une maladie coronaire symptomatique stabilisée, pour lesquels l’objectif du test est de documenter une évolution d’une atteinte coronaire connue. Dans les deux cas, le but de l’examen serait d’améliorer l’estimation du risque individuel et d’identifier les patients qui tireraient bénéfice d’une intervention, qu’elle soit pharmacologique par la prise en charge des facteurs de risque, ou interventionnelle par la revascularisation coronaire, à but préventif ou anticipatoire d’un évènement coronaire significatif (infarctus du myocarde ou décès de cause cardiaque). Cette évaluation peut s’inscrire dans le suivi de routine du patient, ou intervenir en amont d’une procédure potentiellement à risque de complication cardiologique, par exemple une chirurgie mais aussi l’activité sportive.
Ce billet se concentrera sur les patients diabétiques puisqu’il s’agit de la population dans laquelle le plus grand nombre d’essais randomisés a été réalisé. Le billet suivant abordera notamment les patients en prévention secondaire.
Un trio d’études randomisées
L’essai DADDY-D, monocentrique, a randomisé 520 patients atteints de diabète de type 2, sans coronaropathie connue et avec un score de risque cardiovasculaire élevé, entre dépistage par EE ou absence de dépistage. Après un suivi médian de 3,6 ans, il n’y a aucune différence sur le critère primaire (décès cardiovasculaires et/ou infarctus du myocarde). La valeur prédictive positive de l’EE dans cette population est de 70 %, étonnement bien supérieure aux valeurs calculées dans le billet précédent ou à celle observée de l’étude DIAD (voir plus bas), peut être parce que les critères de positivité sont plus drastiques qu’en pratique clinique habituelle : la maximalité du test est déterminée par la charge développée et non la fréquence cardiaque atteinte, et un test sous maximal est considéré comme normal s’il n’est pas positif, alors qu’en pratique quotidienne un test litigieux peut entrainer d’autres examens pour s’assurer réellement de l’absence d’ischémie ou de maladie coronaire (ce qui revient considérer un test litigieux comme positif). De ce fait, le protocole de DADDY-D augmente la spécificité de l’EE, et diminue les faux positifs.
Dans l’étude DYNAMIT, 631 patients asymptomatiques atteints de diabète de type 2 et d’au moins deux autres facteurs de risque cardiovasculaire, ont été randomisés entre absence de dépistage ou dépistage de la maladie coronaire, principalement par EE (75% des patients). Les patients ne pouvaient pas être inclus si un test d’ischémie s’était révélé négatif dans les trois années précédentes. L’étude a été interrompue prématurément en raison d’un faible taux d’évènements (8% pendant 3,5 ans de suivi contre 5% annuels anticipés) et d’une inclusion trop lente (cas classique quand les médecins sont convaincus qu’une procédure est efficace et ne veulent pas prendre le risque que leur patient n’en bénéficie pas). Après un suivi moyen de 3,5 ans, il n’y a pas de différence significative sur le critère d’évaluation principal (mortalité toutes causes confondues, infarctus du myocarde, accident vasculaire cérébral ou insuffisance cardiaque), mais l’étude est évidemment sous-dimensionnée.
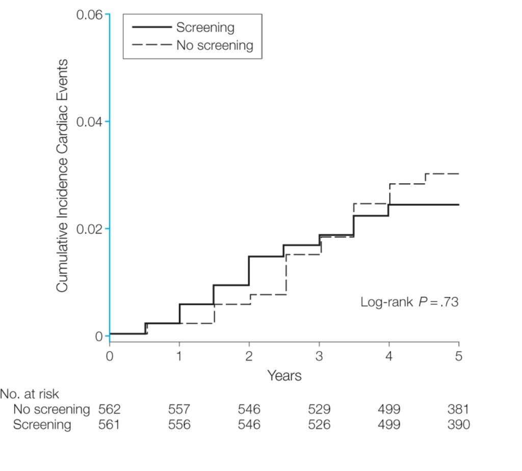
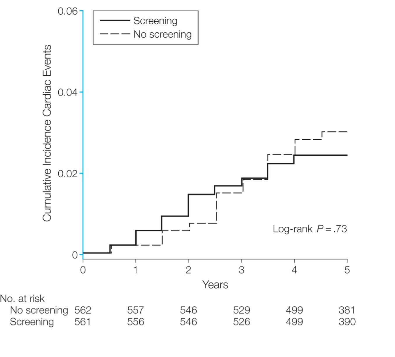
L’étude DIAD a randomisé 1.100 patients diabétiques sans coronaropathie connue, entre un suivi simple et un dépistage systématique de la maladie coronaire, non par EE, mais par scintigraphie. Là encore la réalisation d’un test d’effort dans les 3 années précédentes était un critère d’exclusion. La valeur prédictive négative d’une scintigraphie myocardique normale était de 98 %, mais la valeur prédictive positive en cas d’ischémie à l’imagerie n’était que de 6 % pour toute anomalie scintigraphique, et 12 % pour une ischémie modérée ou importante. Certes, le taux d’évènement (infarctus du myocarde et décès cardiovasculaire) est corrélé à l’importance de l’ischémie documentée en scintigraphie, mais le dépistage n’améliore pas le pronostic des patients. Là encore, le taux d’évènements du critère primaire est (largement) inférieur à ce qui avait été anticipé dans le plan statistique (3% observé pendant un suivi moyen de 4,9 ans contre 5 à 10% attendu pendant un suivi de 5 ans), la moitié survenant d’ailleurs chez des patients ayant une scintigraphie normale. Dans DIAD, comme dans la cohorte de patients ayant bénéficié d’une scintigraphie dans DYNAMIT, la prévalence des anomalies silencieuses de perfusion tourne autour de 20 %.
Une méta-analyse
Malgré l’inclusion de patients considérés comme à haut risque, le taux d’évènement dans ces études n’est que d’1% par an, au plus ; très en dessous des projections des plans statistiques. Il aurait fallu inclure au moins 3 fois plus de sujets dans DIAD pour éventuellement mettre en évidence une baisse de 20% du risque d’évènement grâce à la scintigraphie myocardique, avec une puissance de 80%. Il est donc évident que ces études ne sont pas dimensionnées pour attendre leur critère primaire ; sans compter l’arrêt prématuré de l’essai DYNAMIT. Cela soulève également la question de la difficulté d’estimer le risque d’évènement cardiovasculaire de nos patients, qu’on a tendance à surestimer.

Dans une méta-analyse portant sur cinq essais (DIAD, DADDY-D, DYNAMIT, un petit essai monocentrique italien de 140 patients et FACTOR-64 – dans laquelle le dépistage était anatomique par coroscanner et non pas fonctionnel) et 3.299 patients diabétiques, le dépistage non invasif de la coronaropathie réduit significativement le risque d’événement cardiaque (décès cardiaque, infarctus du myocarde non mortel, angine de poitrine instable ou hospitalisation pour insuffisance cardiaque) de 27 % (RR 0,73 ; IC à 95 %, 0,55-0,97 ; P = 0,028), mais sans qu’aucun des critères pris individuellement ne soit positif.
Cependant, comme le soulève les auteurs dans les limitations, la population globale de la méta-analyse est très hétérogène en raison de la diversité des critères d’inclusion, et il est discutable d’inclure dans la même analyse des études aux modalités de dépistage si différents. L’étude FACTOR-64 est tout particulièrement problématique puisqu’elle étudie l’apport d’un dépistage anatomique et non pas fonctionnel. Pour mémoire, malgré l’inclusion de 900 patients, la réalisation d’un coroscanner de dépistage ne fait pas mieux que le suivi classique sur le critère primaire (décès cardiovasculaire, infarctus non fatal et angor instable), avec là encore un taux d’évènements moitié moins important qu’anticipé. On a donc une étude évaluant le dépistage de la maladie coronaire et 4 études dépistant l’ischémie myocardique comme marqueur de la maladie coronaire, ce qui n’est pas tout à fait la même chose. Si on exclut de l’analyse l’étude FACTOR-64, le bénéfice du dépistage de l’ischémie myocardique n’est plus significatif (RR 0.67 [0.40, 1.12] ; p=0,12). Dans les recommandations 2023 de ESC sur la prise en charge cardiologique du diabète, les auteurs écrivent également que cette méta-analyse n’est pas très robuste, et concluent que le dépistage systématique d’une atteinte coronaire ne doit pas être réalisée (grade III-B).
Des explications ?
Comment peut on expliquer que ces études, réalisées dans une population qui devrait en toute logique bénéficier d’un dépistage de la maladie coronaire, sont restées neutre ?
L’intérêt de dépister l’ischémie myocardique est de pouvoir instaurer un traitement spécifique de la maladie coronaire. L’essai BARDOT, a randomisé 400 patients asymptomatiques atteints de diabète de type 2 et d’ischémie myocardique, entre revascularisation coronaire et traitement pharmacologique ou traitement pharmacologie seul, avec, comme troisième bras, les patients diabétiques de type 2 sans ischémie scintigraphique. Comme DIAD ou DYNAMIT, une ischémie myocardique est mise en évidence chez 20% de la population. Le critère primaire (décès cardiaque, infarctus du myocarde ou revascularisation coronaire) survient plus fréquemment dans le groupe ayant une ischémie scintigraphique en raison d’un surcroit de revascularisation, sans différence sur les critère durs. Il n’y a pas de différence au sein du groupe ayant une scintigraphie positive qu’il y ait ou non une revascularisation coronaire à deux ans. L’étude est cependant, là encore, sous-dimensionnée pour répondre à sa question.
Il faut rappeler que la revascularisation de ces patients n’améliore par leur pronostic. BARI-2D (ayant inclus plus de 2300 patients) n’a pas démontré d’intérêt à une revascularisation coronaire immédiate chez les patients diabétiques ayant une atteinte coronaire, par rapport à une optimisation pharmacologique seule, malgré un taux d’évènement à 5 ans largement plus important que les études citées plus haut (10% de mortalité et 25% d’évènements coronaires) ; il en est de même dans les sous-groupes des patients diabétiques dans COURAGE ou ISCHEMIA (mais ce sont des analyses de sous groupes d’études neutres sur leur critère primaire – autant dire qu’on n’en tire aucune information).
Le bénéfice du dépistage de l’ischémie myocardique ne passera donc que par une optimisation du traitement pharmacologique. Dans DIAD, DADDY-D ou DYNAMIT, le taux de traitement par statines, inhibiteurs de l’enzyme de conversion de l’angiotensine, traitements antihypertenseurs, aspirine ou hypoglycémiants est similaire dans les deux groupes à la fin de l’étude, probablement au moins en partie par d’effet Hawthorn. Le bénéfice du traitement intensif des facteurs de risque dans le diabète ayant été documenté de longue date, si le traitement pharmacologique est bien conduit, la plus-value de la recherche d’ischémie myocardique est nulle, car l’incrément thérapeutique qu’elle entraine (en général une revascularisation) n’a pas d’impact sur le pronostic. D’ailleurs, l’ischémie a disparu chez 79% des patients de DIAD qui présentaient des anomalies de perfusion au début de l’étude et qui ont réalisé une nouvelle imagerie 3 ans plus tard, régression associée à l’optimisation du traitement pharmacologique, alors qu’une nouvelle ischémie n’est apparue que chez 10 % des patients.
Faut-il traquer les faux asymptomatiques ?
Un dernier point, soulevé dans les commentaires en réponse à la publication du dernier billet sur LinkedIn, est celui des « faux asymptomatiques ». Il s’agit de patients se disant asymptomatiques, mais n’ayant pas suffisamment d’activité physique ou de capacité fonctionnelle pour générer des symptomes à l’effort à même de signaler une maladie coronaire.
Dans DADDY-D, les patients incapables de faire un effort significatif (sur la base de la charge développée et non de la fréquence maximale théorique) (10% du groupe dépistage), étaient considérés comme ayant eu un test normal, ce qui d’une part ne semble pas entrainer d’impact négatif sur le résultat de l’étude, et, d’autre part, est une façon assez simple de régler la question. Dans DIAD, avec une population assez semblable, la moitié des patients du groupe dépistage était incapable de faire un effort suffisant et a nécessité une sensibilisation pharmacologique en amont de la scintigraphie ; compte tenu de la randomisation, il n’y a pas de raison qu’il n’y ait pas la même proportion de patients à faible capacité fonctionnelle dans la groupe contrôle, faussement asymptomatiques pour certains, mais dont il ne ressort pas qu’ils auraient eu un plus mauvais pronostic en n’étant pas dépisté. Les recommandations 2022 sur l’évaluation cardiologique préopératoire soulèvent cette question en différenciant le bilan préconisé selon la capacité fonctionnelle. Un patient capable de monter deux étages (à son rythme) sans symptôme est considéré comme ayant une capacité fonctionnelle suffisante pour écarter une atteinte coronaire opérante et ne pas nécessiter d’évaluation à l’effort avant la chirurgie. De même, sauf éventuellement avant la reprise d’une activité physique intense, les patients inactifs ne nécessitent pas de recherche d’atteinte coronaire dans les différentes recommandations sur l’évaluation avant reprise d’une activité physique. Chez ces patients – même faussement – asymptomatiques, pharmacologiquement bien traités, le bénéfice d’un dépistage est inexistant au plan symptomatique, et faible au plan pronostic, puisque le pronostic n’est pas corrélé au résultat d’une évaluation fonctionnelle.
Dans la mesure où un patient diabétique de type 2 doit de toute façon bénéficier d’un traitement par statine, avec un LDL-cholestérol cible souvent aussi bas qu’en cas de maladie coronaire avérée, l’intérêt d’identifier les faux asymptomatique serait d’initier un traitement par aspirine si le dépistage devait permettre de documenter une maladie coronaire. Pour l’aspirine, il faudrait une étude évaluant sa place chez les patients ayant une atteinte coronaire asymptomatique, étude que nous n’avons pas (pour plus de détail sur le sujet, vous pouvez consulter le billet dédié). On peut argumenter que le taux de traitement par aspirine dans DIAD, DYNAMIT ou DADDY-D étant similaire dans les deux groupes (atteignant d’ailleurs 70% dans DIAD), l’une des raisons pour lesquelles ces études sont neutres est justement le traitement antiagrégant. Néanmoins, l’étude ASCEND a montré que si l’administration d’aspirine en prévention primaire chez des patients diabétiques sans maladie coronaire connue, permettait une réduction des évènements ischémiques, c’était au prix d’une majoration des évènements hémorragiques, soit un bénéfice net nul. Parmi les 15.000 participants de cet étude, il y a nécessairement des patients ayant une maladie coronaire asymptomatique ou faussement asymptomatique, non diagnostiquée à l’inclusion, puisque les études citées plus haut retrouvent une prévalence d’ischémie myocardique de 20% dans ce genre de population. Pour autant il n’y a pas moins de revascularisation coronaire dans le groupe aspirine (figure S7), un évènement survenant chez 4% de la population, chiffre assez proche de la prévalence de 6% de maladie coronaire significative dans l’étude Factor-64.
La question est enfin celle des atteintes du tronc commun qui est, à ce jour, la seule atteinte pour laquelle une revascularisation est recommandée d’emblée. La prévalence d’une lésion significative du tronc commun est de 5% dans ISCHEMIA. Cette information n’est pas disponible pour BARI-2D. Néanmoins ces deux études ont inclus des patients symptomatiques. Dans FACTOR-64, l’information n’est pas non plus disponible ; tout au plus sait-on que 6% des patients ont des lésions significatives proximales sur un des trois troncs coronaires. On en revient à la réflexion portée dans le billet précédent sur la pertinence du dépistage des atteintes de faible prévalence (biais dit d’oubli de la fréquence de base).
Conclusion
A ce jour, il n’y a aucun bénéfice démontré au dépistage systématique de l’ischémie myocardique chez les patients diabétiques asymptomatiques, ce qui justifie pleinement la recommandation de classe III (« ne pas faire ») des dernières recommandations de l’ESC. L’optimisation des traitements pharmacologique et non pharmacologique des facteurs de risque constitue la base de la prise en charge du diabète, indépendamment de la présence d’une maladie coronaire, permettant de diminuer drastiquement le risque d’évènement cardiaque. Même si on dimensionnait suffisamment un essai et qu’il démontre le bénéfice d’un tel dépistage, encore faudrait-il réfléchir à l’intérêt clinique à faire passer un taux d’évènement de 1% à 0,8%, soit 500 patients à dépister pour éviter un évènement…
Outre donc un nombre très important de faux négatifs ou de faux positifs, l’EE n’a pas démontré d’intérêt pour le dépistage systématique de la maladie coronaire chez le patient diabétique asymptomatique, et ne devrait plus être réalisée dans cette indication. Encore moins de manière annuelle, comme on le voit encore trop souvent. Les différentes études présentées dans ce billet ont considéré qu’un test d’effort normal dans les 3 années précédentes était suffisant pour écarter une maladie coronaire et exclure les patients de l’étude, et une ischémie significative n’est apparue que chez 10% des patients dans cet intervalle de temps. A mon sens la question des patients ayant une faible capacité fonctionnelle et donc éventuellement « faussement asymptomatique » n’en est pas une. La prévalence d’une atteinte coronaire significative est faible, la balance bénéfice/risque de l’adjonction d’aspirine pas évident et le gain pronostic anecdotique. La même réflexion s’étend sans problème à la scintigraphie myocardique. Quand à l’évaluation du dépistage anatomique de l’atteinte coronaire dans cette population, c’est une autre histoire…



bravo et merci pour tout ce travail Florian
J’aimeJ’aime
Bonsoir Merci pour ce papier bien clair (comme les précédents).
Mais l’avant dernier paragraphe l’est beaucoup moins « On peut argumenter que le taux de traitement par aspirine dans DIAD, DADDY-D étant similaire dans les 2 groupes (atteignant DYNAMIT ou d’ailleurs 70% dans DIAD), l’une des raisons pour lesquelles ces études sont neutres est justement le traitement antiagrégant. » Classique coup de fatigue de la fin de rédaction de l’article ?
J’aimeJ’aime
oui, c’était bien un coquille. J’ai corrigé
Merci du retour
J’aimeJ’aime
Bonjour, merci pour tout ce boulot de décryptage. Dans ce billet vous vous referez à Cards pour la nécessité d’un traitement par statines chez les diabétiques de type 2. J’en suis étonné en tant que patient DT1 qui tente de comprendre depuis des années ces questions de statine & autres anti-cholestérols et diabètes.
Cards a été stoppé 2 ans avant terme ce qui ne devrait pas permettre de conclure en vue de recommander le traitement, indépendamment de la forte baisse de LdL observée. Sauf erreur il y avait une faible différence entre les deux groupes en chiffres brut, par ex. 24 décès cardiaques vs 18. Rien qui semble justifier un arrêt précoce.
Le résultat positif de Cards n’a pas non plus été confirmé par les autres essais concernant des diabétiques de type 2 : 4D et Aspen.
Ces trois essais avaient été analysés ici :
https://www.thelancet.com/journals/lancet/article/PIIS0140-6736(04)16895-5/abstract
« However, when trials that investigated only diabetic patients (i.e., CARDS, 4D, and ASPEN) were included in the analysis, statin treatment was not found to reduce CVD significantly (OR: 0.817, 95% CI: 0.649 to 1.029, p = 0.086). Furthermore, after performing subgroup analysis, no benefit of statin treatment was found in primary prevention (OR: 0.774, 95% CI: 0.506 to 1.186, p = 0.240) or secondary prevention (OR: 0.893, 95% CI: 0.734 to 1.088, p = 0.262) of CVD in diabetic patients. «
En toute logique selon ce que j’en comprends, suite à ces trois essais spécifiques pour des diabétiques les statines n’auraient pas du faire partie des recommandations pour les DT2 (ni pour les DT1 d’ailleurs), ni à ce stade aucun autre anti-cholestérol.
Est-ce que svp ces recommandations ne devraient pas évoluer ?
J’aimeAimé par 1 personne
Oups, erreur de lien dans ma réponse précédente. L’extrait est issu de : https://www.ncbi.nlm.nih.gov/pmc/articles/PMC4063097/
J’aimeJ’aime
Bonsoir. Merci pour votre commentaire tout à fait intéressant. J’ai manqué de temps jusque là pour vous répondre. J’espère trouver le temps dans les prochaines semaines
J’aimeJ’aime
Concernant CARDS, comme dans toutes études, il y avait une évaluation programmée à intervalles réguliers (en aveugle) pour savoir s’il était éthique de poursuivre l’étude si le traitement se révélait suffisamment efficace, ou s’il était inutile voire dangereux. Le comité a suivi le protocole en avertissant qu’il y avait une différence significative en faveur du traitement et l’étude a été arrêtée, car il a été jugé qu’il n’était pas éthique de poursuivre compte tenu du bénéfice observé. C’est tout à fait conforme aux bonnes pratiques, même si effectivement l’arrêt précoce favorise toujours un peu la molécule testée. L’étude est positive avec une baisse absolue des évènements de 3,2% sur le critère primaire, soit 31 patients à traiter pendant 4 ans pour éviter un évènement, ce qui tout à fait excellent (du niveau des traitements de l’insuffisance cardiaque par exemple)
Vous écrivez « il y avait une faible différence entre les deux groupes en chiffres brut, par ex. 24 décès cardiaques vs 18 ». Vous allez chercher des évènements qui ne sont que des composants du critère primaire. L’étude n’est pas dimensionnée pour aller chercher une efficacité sur ce seul critère. Il aurait fallu faire une étude beaucoup plus grosse et longue pour voir quelque chose de positif. Et pourquoi regarder ce critère et pas n’importe quel autre ?! pourquoi ne pas parler par exemple de la baisse de la mortalité totale (qui est bien plus robuste que la mortalité cardiovasculaire) : 82 morts dans le groupe placebo et seulement 61 dans le groupe statine (6% vs 4% – les pourcentages sont plus représentatifs). 20 morts de moins en 4 ans sur 1400 personnes, ce n’est pas rien. La baisse de la mortalité toute cause est presque significative et serait peut-être même sortie positive si l’étude avait été poursuivie. Donc CARDS est positive sur son critère primaire (c’est ce qu’on lui demande), ce n’est pas discutable du tout, et le bénéfice de l’atorvastatine est avéré (dans le diabète de type 2, pas dans le diabète de type 1).
ASPEN est effectivement négative, pour plein de raisons expliquées dans la discussion de l’étude, et notamment parce qu’à la suite des résultats des essais précédents (dont CARDS), les patients ayant un fait un évènement CV ou ayant un risque élevé, ont été mis sous statine, qu’ils soient du groupe statine ou du groupe contrôle. Il y a presque 40% de sortie d’étude, ce qui réduit dramatiquement la puissance statistique ; l’étude n’est pas négative : elle ne peut pas conclure par manque de puissance.
4D est une étude sur une population très particulière puisqu’il s’agit de patients en hémodialyse, et pas des diabétiques tout venants. Oui l’étude est négative, et on sait que la prise en charge de ces patients est compliquée car ils ont plein de raison de faire des évènements cardiovasculaires, et pas seulement le diabète ou le cholestérol. Cette étude ne dit pas que les statines ne marchent pas chez les diabétiques, ne dit pas non plus il faut arrêter les statines chez les diabétiques qui entrent en hémodialyse, elle dit il est inutile de commencer un traitement par statine chez un patient diabétique en hémodialyse qui n’en avait pas jusque là et qui est en prévention primaire (les patients ayant fait un infarctus par exemple étaient exclus ; autant dire que ce genre de patient ne se voit quasiment pas)
Du fait de ces différences fondamentales dans la population étudiée et le design, associer juste ces trois études dans une méta-analyse est discutable voir fallacieux. Je ne comprends pas la logique des auteurs de faire une analyse prenant en compte les populations de patients diabétiques de toutes les études conduites à date, analyse qui montre clairement un bénéfice en prévention primaire et en prévention secondaire du traitement par statine chez les patients diabétiques, pour ensuite aller faire une analyse de de 3 études prises isolément, en particulier en incluant 4D qui est TRES différente. Si je fais une analyse en ne prenant pas 4D qui est trop différente, avec ASPEN et CARDS, je trouve un OR à 0.78 [0.65, 0.93], c’est-à-dire une baisse de 22% du risque d’évènement CV. Il y a énormément de méta-analyses de bien meilleure qualité que celle que vous citez, et qui vont toutes dans le même sens : les statines sont efficaces dans le diabète. Lire https://www.sciencedirect.com/science/article/pii/S0735109708030581?via%3Dihub ou https://www.thelancet.com/journals/lancet/article/PIIS0140-6736(14)61368-4/abstract notamment
Pour le diabète de type 1 il y a moins d’étude mais on a celle-ci qui suggère que ça fonctionne tout autant https://www.thelancet.com/journals/lancet/article/PIIS0140-6736(03)13636-7/abstract
Donc pour reprendre votre conclusion « En toute logique selon ce que j’en comprends, suite à ces trois essais spécifiques pour des diabétiques les statines n’auraient pas du faire partie des recommandations pour les DT2 (ni pour les DT1 d’ailleurs), ni à ce stade aucun autre anti-cholestérol. Est-ce que svp ces recommandations ne devraient pas évoluer ? » : NON, il n’y a aucune raison que les recommandations évoluent, puisque les statines sont clairement efficaces dans le diabète. Vous êtes allé chercher 2 études négatives (ASPEN et 4D – qui est en plus très particulière dans sa population) sur les 20 à 30 études positives existantes sur le sujet et une méta-analyse de mauvaise qualité dont vous allez chercher juste un bout (c’est du cherry-picking), et vous comprenez mal l’importance de la 3ème (CARDS). Il n’y a rien de bien compliqué à comprendre sur ce sujet : le bénéfice des statines dans le diabète est avéré depuis 20 ans. On peut discuter l’intérêt d’initier un traitement en prévention primaire chez un patient de 80 ans à qui on découvrirait un diabète, mais pour l’immense majorité des patients les données sont évidentes et positive.
J’ajoute que les statines ont probablement fait plus pour l’amélioration du pronostic des patients diabétiques que les antidiabétiques développés dans les années 2000 et 2010 (jusqu’à l’arrivée des SGLT2i et des GLP1a).
J’espère avoir pu éclairer votre lanterne et répondre à vos interrogations
J’aimeJ’aime