Depuis l’ouverture de ce blog, j’ai déjà publié deux articles sur la place du sacubitril/valsartan (S/V) dans la prise en charge de l’insuffisance cardiaque (IC) : l’un suite à la publication de l’essai PARAGON dans l’IC à FEVG préservée (ICFEP), l’autre sur la place du S/V dans l’IC à FEVG altérée (ICFEA) en prélude à la publication des recommandations de la société européenne de cardiologie (ESC). Depuis lors, plusieurs essais randomisés ont été publiés et il me semblait important de refaire un point sur l’évolution des données à notre disposition. Ce billet n’a pas vocation à discuter l’ensemble des essais randomisés publiés sur ce sujet, certains étant très discutables en terme d’intérêt et de méthodologie ; de même, je ne parlerai pas d’études observationnelles ou rétrospectives dont l’intérêt est à peu prêt nul pour répondre à la question de l’efficacité d’un traitement.
Sacubitril et altération de la FEVG
Au printemps 2021, j’ai publié sur ce blog un billet exposant les raisons pour lesquelles je pense qu’il n’est pas opportun d’instaurer un traitement par S/V en première ligne dans la prise en charge de l’ICFEA, c’est à dire sans prétraitement initial par un inhibiteur de l’enzyme de conversion (IEC) – ou à défaut un antagoniste des récepteurs de l’angiotensine (ARA2). Quelques semaines plus tard l’ESC publiait ses nouvelles recommandations pour la prise en charge de l’IC, dans lesquelles – si on va au-delà des tableaux de synthèse et qu’on lit le texte dans son intégralité – elle écrit également que le S/V devrait être réservé aux patients restant symptomatiques malgré un traitement par IEC.
Selon certains, l’efficacité du S/V dans PARADIGM justifierait de l’utiliser d’emblée, car passer par une première étape de traitement par IEC (ou par ARA2) serait une perte de temps et de chance pour les patients. Les patients les plus sévères seraient d’ailleurs « tout naturellement » ceux qui tireraient le plus de bénéfice de cette stratégie. Dans mon billet de juin 2021, j’exposais pourquoi, selon moi, aucune donné factuelle ne permettait de soutenir ce raisonnement – à la fois qu’il y aurait au bénéfice plus important chez les plus graves et que le traitement par IEC serait inutile ; tout en rappelant que « Ceci ne veut pas dire que le S/V ne fonctionnerait pas dans cette population plus grave, mais que la supériorité du S/V titré à pleine dose par rapport au traitement habituel par IEC ne peut être assurée puisque ces patients ne sont pas inclus. ». Dans PARADIGM, on trouvait une interaction entre efficacité du traitement par S/V et classe NYHA : les patients en classe III ou IV ne bénéficiaient pas du traitement par S/V pour le critère primaire, ce qui allait plutôt contre ce que certains claironnent depuis des mois. Il s’agit néanmoins d’une analyse de sous-groupe et, avec 18 sous-groupes analysés, la possibilité que cette différence d’efficacité selon la classe NYHA ne soit que purement artéfactuelle et malencontreuse ne peut être exclue. La seule façon de confirmer (ou pas) la baisse d’efficacité du S/V chez les patients les plus symptomatiques, est de faire un essai randomisé dans cette population spécifique. Et il se trouve que l’étude LIFE a été publiée il y a quelques semaines.
Etude LIFE : sacubitril/valsartan chez les patients en insuffisance cardiaque avancée
L’étude LIFE (à ne pas confondre avec l’étude LIFE de 2002 dans l’hypertension artérielle, qui avait démontré que l’efficacité d’un traitement antihypertenseur sur la réduction des évènements cliniques ne se résume pas à sa capacité à faire baisser la charge tensionnelle mais dépend également de son mode d’action) est un essai randomisé étudiant l’efficacité du S/V chez des patients ayant une ICFEA avancée, en comparaison d’un traitement par valsartan, traitements titrés dans les deux bras jusqu’à la dose maximale tolérée, après une phase de run-in. Disons-le tout de suite : le S/V ne montre aucune supériorité sur le critère de jugement principal de l’étude, un critère intermédiaire totalement bancal (l’aire sous la courbe de l’évolution du taux de NT-proBNP). Il n’y a pas de différence majeure en termes d’effets secondaires si ce n’est un peu plus d’hyperkaliémie dans le groupe S/V.

Quelques remarques :

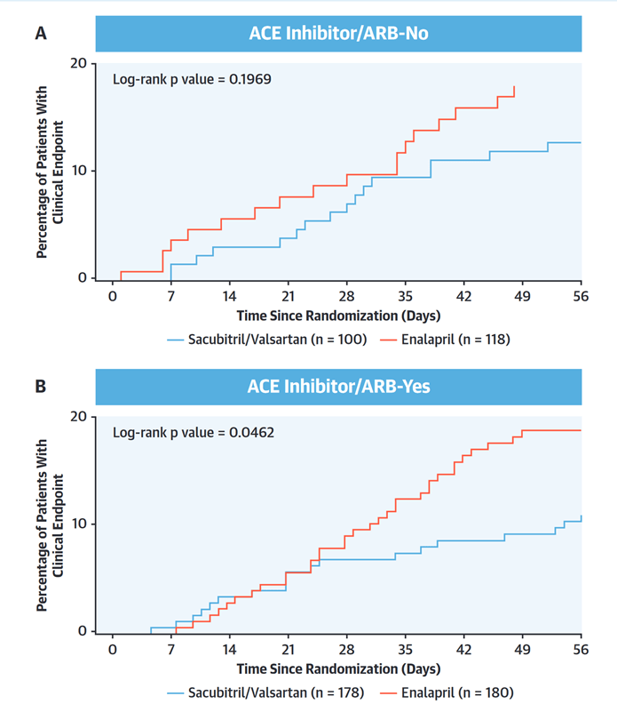
* données estimées par mes soins sur la base des informations publiées, les données globales n’étant pas disponibles dans les documents publiés
- La population randomisée dans LIFE souffre d’une IC plus sévère que la population randomisée dans PARADIGM : 75% sont en classe III ou IV de la NYHA, la FEVG moyenne est de 20%. Comme dans PARADIGM, les patients exclus lors de la phase de run-in sont plus sévères que les patients finalement inclus.
- La phase de run-in de LIFE est plus légère que celle de PARADIGM (3 à 7 jours sous S/V 24/26 mg, sans phase de run-in avec le valsartan) mais a conduit à la non-inclusion de 18% des patients recrutés (72 patients). Dans PARADIGM, 5,6% des patients recrutés avait été exclus lors de la phase de run-in de 2 semaines à pleine dose d’enalapril, puis encore 5,8% des patients lors de la phase de run-in de 4 à 6 semaines à pleine dose de S/V. La tolérance du S/V semble donc moins bonne dans cette population de patients avec une ICFEA avancée que chez des patients moins sévères.
- Autre indice de ce problème de tolérance : 30% des patients dans chaque groupe a dû arrêter le traitement en cours d’étude. Ramené à la population initialement recrutée, 50% des patients ayant pris du S/V ne l’a finalement pas toléré. Dans PARADIGM, 10% des patients du groupe S/V avait dû interrompre le traitement en cours d’étude
- Contrairement à PARADIGM où 100% des patients étaient traités par IEC ou ARA2 à l’entrée dans l’étude, seuls 60 % des patients de LIFE était sous traitement par IEC ou ARA2 (30% pour chacune des classes) au moment de la randomisation.
- Enfin, La dose atteinte est la moitié de la dose maximale, que ce soit pour le S/V ou le valsartan, et un tiers seulement des patients atteignaient la dose maximale de S/V.
Le S/V administré à des patients ayant une ICFEA avancée symptomatique – dont un tiers sans traitement initial par IEC/ARA2 – n’apporte donc aucun bénéfice supplémentaire en comparaison du valsartan seul. Je n’ai pas trouvé dans le protocole de l’étude d’explication sur l’usage du valsartan comme contrôle dans LIFE, alors que l’enalapril avait été utilisé dans PARADIGM. Certes, un bras contrôle traité par valsartan permet de juger spécifiquement de l’efficacité du sacubitril, alors qu’avec un bras contrôle traité par enalapril, c’est plus deux stratégies thérapeutiques qui sont comparées. C’est une question que Vinay Prasad avait soulevée dans son analyse de PARADIGM : on ne connait pas l’apport propre du sacubitril dans l’ICFEA car le comparateur n’est pas le valsartan mais l’enalapril. Pour moi ce problème n’en est pas un. Les ARA2 sont moins efficaces que les IEC dans l’ICFEA (ils n’ont jamais démontré de baisse de la mortalité totale, au contraire des IEC) et ne sont que des traitements de deuxième intention, en cas d’intolérance aux IEC. Il me semble normal de comparer le S/V au traitement de référence qu’est l’enalapril. Mais pourquoi avoir pris le valsartan comme comparateur dans LIFE ? Ce choix du valsartan dans LIFE était-il une façon de favoriser la positivité de l’étude : pourquoi ne pas avoir fait LIFE avec l’enalapril comme comparateur, les IEC étant le traitement de référence ? Deuxièmement, est-il éthique d’arrêter dans le groupe contrôle les traitements par IEC pour les remplacer par un traitement moins efficace ? Pour moi, clairement non.
Les patients de LIFE sont moins bien traités que ceux de PARADIGM (65% d’IEC/ARA2 contre 100% et 78% de bétabloquant contre 93%) : est-ce parce qu’ils sont trop graves pour tolérer les traitements, ou sont-ils graves justement parce que le traitement n’est pas optimal ? LIFE ne permet pas de savoir si le S/V doit ou non être mis en première intention à la place du traitement par IEC. Il n’y a pas d’analyse de sous-groupe pour étudier une éventuelle différence d’efficacité selon que les patients avait ou non un traitement par IEC/ARA2 au moment de la randomisation dans LIFE, ce qui ne me pose aucun problème en raison des limites statistiques qu’entoureraient une telle analyse. C’est cependant un rappel de la nécessité d’optimiser le traitement de l’IC le plus tôt et le plus rapidement possible (en suivant les données acquises de la littérature, pas en faisant n’importe quoi…). Un patient symptomatique sous traitement bien conduit par IEC doit voir son traitement modifié pour passer au S/V (et/ou l’ajout de SGLT2-i, mais c’est une autre histoire) ; attendre, c’est risquer de dépasser le stade où le changement de traitement apportera un bénéfice.

Pousser pour privilégier le S/V par rapport à un IEC chez les patients souffrant d’une IC avancée (au motif que c’est le choix « logique ») était donc une erreur. La pseudo-cohérence physiopathologique se brise souvent sur le roc de la réalité des essais cliniques. Le fait est que la population de LIFE souffre d’une IC trop avancée pour bénéficier d’une modulation du métabolisme des peptides natriurétiques. Dans les formes sévères d’ICFEA, l’effet bénéfique des peptides natriurétiques est altéré par une internalisation et une moindre sensibilité de leurs récepteurs, par la circulation de formes inactives, et par la surexpression du système rénine-angiotensine (SRAA). De plus, les peptides natriurétiques sont eux-mêmes des inhibiteurs de la néprilysine : à partir d’une certaine concentration de peptides natriurétiques circulants, l’activité de la néprilysine baisse. Ainsi, plus l’IC est sévère et évoluée, plus les effets bénéfiques des peptides natriurétiques sont émoussés notamment par l’hyperactivation du SRAA et plus l’activité de la néprilysine est freinée par les peptides natriurétiques eux-mêmes. Dans cet environnement de peptides natriurétiques inefficaces et de néprilysine inactive, l’inhibition de la néprilysine par le sacubitril ne pourrait avoir d’effet que si le SRAA et les taux circulants de peptides natriurétiques ont été maitrisés par un traitement efficace (notamment par un IEC). Idée intéressante pour justifier d’une première phase de traitement par IEC pour mettre le SRAA au repos, diminuer la concentration de peptides natriurétiques et leur faire récupérer une efficacité, avant de bloquer la néprilysine à nouveau active par l’adjonction de sacubitril. A ce compte-là, et à rebours des discours habituels, le traitement immédiat par S/V serait d’autant plus efficace que le SRAA est peu activé et les peptides natriurétiques peu élevés, et donc chez les patients… les moins graves. Alors que les patients les plus sévères seraient justement ceux chez qui une première phase de traitement par IEC serait la plus utile…
PARADISE-MI : sacubitril/valsartan après un infarctus myocardique
J’ai déjà parlé de PARADISE-MI, présenté lors du congrès de l’American College of Cardiology, dans mon billet de 2021. Il s’agit d’un essai randomisé comparant le S/V au ramipril chez des patients ayant présenté un infarctus du myocarde. L’étude a été depuis publiée dans le NEJM. Les patients inclus dans PARADISE-MI sont des patients sans antécédent d’IC, à haut risque cardiologique (âge, diabète, insuffisance rénale, etc.), ayant fait dans les jours précédents l’inclusion, un infarctus du myocarde (avec ou sans sus-décalage du segment ST), compliqué d’une altération de la FEVG (inférieure à 40%) et/ou d’un tableau de congestion pulmonaire. Les patients étaient randomisés entre S/V ou ramipril, titrés jusqu’à la dose maximale tolérée (97/103 mg de S/V ou 5 mg de ramipril, deux fois par jour), sans phase de run-in. L’essai est bien conduit, bien dimensionné, et après 22 mois de suivi médian, il n’y a pas de différence sur le critère primaire (premier épisode d’insuffisance cardiaque ou de décès cardiovasculaire) (11,9% dans le groupe S/V contre 13,2% dans le groupe ramipril ; HR 0,90; IC95% 0,78-1,04 ; p=0,17). Ce n’est pas tant que le S/V ne fonctionne pas dans ce contexte, c’est qu’il n’apporte pas d’avantage en comparaison d’un traitement par ramipril, molécule largement génériquée et très peu onéreuse (140 € pour un mois de traitement par S/V 97/103 mg contre 3 € pour un mois de traitement par ramipril 10 mg). Et comme je le prévoyais, les auteurs ont tenté de trouver une positivité à cette étude négative…
Pourquoi le S/V n’apporte-t-il aucun bénéfice dans l’infarctus compliqué d’IC alors qu’il apporte un bénéfice dans l’ICFEA chronique ? Premièrement, en 30 ans, le pronostic de ces patients s’est considérablement amélioré – conjonction du développement et de l’amélioration des techniques de revascularisation sélective et de l’abandon de la thrombolyse, du développement du traitement par statine ou des progrès dans l’anti-agrégation – rendant la mise en évidence d’un bénéfice clinique plus ardue. Dans l’étude AIRE publiée en 1993 (ramipril contre placebo dans l’infarctus compliqué d’insuffisance cardiaque), la mortalité toute cause du groupe ramipril était de 17% après 15 mois de suivi moyen (23% dans le groupe placébo) ; elle n’est « que » de 8,5% dans le groupe ramipril de PARADISE-MI après 22 mois de suivi. Je ne vous parlerai pas des 21 analyses de sous-groupes (!) présentées dans le papier ; c’est fun mais sans aucun intérêt.
En revanche, il faut relever que seulement 53% des patients avaient une congestion clinique au moment de la randomisation, et guère plus (56%) avait un score Killip à 2 (correspondant à une congestion pulmonaire) ou plus au moment de l’infarctus. Même pas la moitié (44%) des patients sont encore sous diurétiques au moment de la randomisation, alors qu’ils sont 80% dans PARADIGM. Il n’y a même pas dans le manuscrit ou ses annexes de valeurs de BNP. La moitié des patients de PARADISE-MI ont donc une dysfonction ventriculaire gauche asymptomatique, population qui n’a pas été incluse dans PARADIGM. De même, si la FEVG moyenne est de 36,5% (soit tout de même 6 points de pourcentage au-dessus de la FEVG moyenne de PARADIGM), 20% des patients avaient une FEVG supérieure à 40% ; et le S/V – quoiqu’en disent certains – n’a pas montré de bénéfice dans l’insuffisance cardiaque avec une FEVG supérieure à 45% (essai PARAGON). A priori donc, seuls 35% des patients avaient au moment de la randomisation à la fois une altération de la FEVG et un tableau congestif ; ce qui fait tout de même 1985 patients, soit autant que l’ensemble de la population incluse dans l’essai AIRE… Dernière remarque, si 78% des patients étaient sous IEC au moment de la randomisation, nous ne savons pas combien de patient prenait cette classe thérapeutique au long cours avant l’infarctus – dit autrement, combien de patients n’ont eu que 4 jours de prétraitement par IEC ?
Certes la dysfonction ventriculaire gauche post-infarctus n’est pas l’exemple type de l’ICFEA. Mais force est de constater qu’encore une fois le S/V fait chou blanc dès qu’on s’éloigne de la population et du protocole de PARADIGM…
Retour sur PIONEER-HF
Pour finir je mentionne deux articles qui m’ont été signalé pour compléter le paragraphe sur l’étude PIONEER de mon billet du printemps 2021. Les deux articles sont des analyses exploratoires de PIONEER avec toutes les limites méthodologiques que ça implique. Comme je l’ai déjà dit, avec son critère de jugement intermédiaire bancal (le pourcentage de baisse du NT-proBNP à 8 semaines), je trouve PIONEER-HF très discutable : le critère primaire intermédiaire facile à atteindre permet d’extrapoler ensuite sur les critères cliniques secondaires, quand bien même ces suppositions ne seraient que des… suppositions à contrôler par des essais randomisés dédiés.
A mon interrogation sur les doses atteintes dans PIONEER, il m’a été proposé cet article sur lequel je ne m’étendrai pas outre mesure. Critère de jugement primaire biologique, suivi extrêmement court pour une pathologie chronique, prise en considération des critères secondaires clinique comme des résultats tangibles, … pas grand chose d’autre à tirer de ce papier que cette conclusion : à dose équivalente, le pourcentage de baisse de NT-proBNP à 8 semaines est plus important sous S/V que sous enalapril quand le traitement est introduit au décours d’une décompensation cardiaque. Vous m’excuserez, mais j’ai du mal à m’extasier d’un tel résultat.

Le deuxième papier est une analyse de sous-groupes de PIONEER : patients hospitalisés pour IC de novo vs aggravation d’une IC connue, et patients sous traitement par IEC/ARA2 avant randomisation vs ceux naïfs de traitement. Certes, sur le critère primaire (toujours le pourcentage de baisse du NT-proBNP à 8 semaines) le S/V fait mieux que l’enalapril dans toutes les populations. Mais puisque les critères secondaires sont régulièrement mis en avant pour renforcer l’impact de PIONEER, jouons le jeu jusqu’au bout : le S/V n’apporterait aucun bénéfice chez les patients hospitalisés pour aggravation d’une insuffisance cardiaque et n’ayant pas d’IEC avant l’admission. Je n’accorde aucun crédit à des critères cliniques qui ne sont que des critères secondaires sur un suivi d’a peine 8 semaines ; mais tout ceux qui considèrent PIONEER pour ses résultats cliniques – bien que ce soient des critères secondaires – doivent rester cohérents : le S/V permet une baisse supplémentaire des évènements par rapport à l’enalapril, sauf chez les patients naïf d’IEC hospitalisé pour décompensation cardiaque…
Sacubitril et FEVG préservée
A la fin de mon billet sur septembre 2019, je parlais de l’étude PARALLAX dont nous attendions les résultats après l’échec de PARAGON. PARALLAX est un essai randomisé analysant l’efficacité du S/V dans l’ICFEP sur des critères intermédiaires : l’évolution du taux de NT-proBNP à 12 semaines et l’évolution de la distance parcourue au test de marche de 6 minutes (TM6), après un suivi de 24 semaines. L’étude PARAMOUNT avait déjà montré qu’après 12 semaines de traitement dans l’ICFEP, le S/V permet une baisse plus importante du NT-proBNP que le valsartan ; je ne vois pas trop l’intérêt de refaire une étude avec ce critère de jugement, même si PARALLAX a 10 fois plus de patients que PARAMOUNT. Elément discutable de cette étude ayant randomisé 2.572 patient : la limite de FEVG pour inclure des patients a été abaissée de 45% à 40%. Cet amendement a été fait avant la publication des résultats de PARAGON, mais a facilité l’inclusion de patients plus à même de répondre favorablement au S/V.
Après randomisation, les patients étaient traités soit par S/V, soit par enalapril s’ils avaient initialement un traitement par IEC, par valsartan s’ils avaient un traitement par ARA2, ou par un placebo s’ils n’avaient avant l’étude ni IEC ni ARA2. Les molécules devaient être titrées jusqu’à la dose maximale tolérée (S/V 97/103 mg, valsartan de 160 mg, enalapril 10 mg, deux fois par jour à chaque fois). Malgré les résultats – discutables mais que je trouve plutôt intéressants pour la prise en charge de l’ICFEP – de TOPCAT, à peine un tiers des patients est sous antagoniste des récepteurs minéralocorticoïdes (ARM). La population incluse dans PARALLAX est sensiblement similaire à celle de PARAGON : 72 ans d’âge moyen, 51% de femmes, IMC moyen à 30 kg/m², FEVG moyenne à 56%. La limitation fonctionnelle est assez importante puisque la distance médiane parcourue au TM6 n’est que de 300 mètres ; mais il aurait été plus pertinent d’exprimer aussi la distance parcourue en pourcentage de la distance théorique (qui varie selon l’âge, le poids et la taille). La valeur médiane de NT-proBNP n’est pas très élevée et même inférieure à celle de PARAGON (760 pg/ml dans PARALLAX, 900 pg/ml dans PARAGON) avec 25% des patients ayant des valeurs inférieures à 415 pg/ml dans le groupe S/V et même 380 pg/ml dans le groupe contrôle. La même question que je soulevais pour PARAGON revient donc : tous les patients inclus souffrent-ils vraiment d’une ICFEP ? Même avec une ICFEP, y a-t-il un intérêt à traiter à proposer un traitement S/V à des patients avec un NT-proBNP à 300 pg/ml ?
La prise de S/V permet une baisse plus importante du NT-proBNP que le traitements par IEC/ARA2/placebo, ce qui confirme les résultats de PARAMOUNT. Ce résultat est d’un intérêt limité, puisque, dans une population similaire, cette baisse des peptides natriurétiques ne s’accompagne pas d’un bénéfice clinique (étude PARAGON). Et dans PARALLAX, le cocritère primaire clinique, la distance parcourue au TM6, n’est pas influencée par le traitement (+9,7 m sous S/V vs +13,2 m dans le groupe contrôle ; −2.5 m (95% CI, −8.5 to 3.5 m; P = .42). Il n’y a pas non plus de différence en terme de qualité de vie : le score KCCQ et classe NYHA sont inchangés (le double aveugle de l’étude en préserve la pertinence, modulo le fait qu’ils s’agissent de critères secondaires). Il y a même plus d’effet secondaire sous S/V que dans le groupe contrôle (hypotension artérielle, hyperkaliémie) bien qu’il faille rappeler que 12% des patients du groupe contrôle n’avaient ni IEC ni ARA2, seulement un placebo.
Certes les améliorations fonctionnelle et clinique peuvent être difficiles à observer dans cette population âgée et polypathologique, du fait des nombreux facteurs compétitifs. Cependant, les études sur le S/V se suivent et se ressemblent : dans l’IC sans altération de la FEVG, si le S/V permet de faire baisser le NT-proBNP, il n’apporte ni amélioration du pronostic, ni amélioration des capacités fonctionnelles par rapport aux ARA2, aux IEC voire même au placébo. Cette conclusion est confirmée par 2 méta-analyses (dans OpenHeart et par une équipe française dans Pharmacology Research & Perspectives) publiées récemment qui ne retrouve aucun bénéfice au S/V dans l’ICFEP.
Conclusion
Les données publiées ces derniers mois viennent donc confirmer ce que j’écrivais il y a presque un an : le S/V est un très bon traitement de l’ICFEA si on reste dans le cadre de l’étude PARADIGM. Dès qu’on étudie une population différente, les résultats sont bien plus discutables, voire totalement négatifs. Je sais bien que la nouveauté est attrayante et que prescrire du S/V semble bien mieux qu’un vieil IEC génériqué depuis une ou deux décennies. Quitte à sembler rabat-joie et réfractaire aux nouveautés, je pense cependant qu’à l’heure actuelle, sur la base de ce qui est publié :
- Le S/V est tout à fait indiqué chez les patients souffrant d’ICFEA, s’ils sont toujours symptomatiques ou qu’ils font une décompensation cardiaque malgré un traitement bien conduit (c’est à dire à dose maximale tolérée d’IEC, de bétabloquant et d’ARM). Cependant
- Les patients les plus graves ne sont pas du tout ceux qui bénéficient le plus du S/V et rien ne justifie de débuter d’emblée du S/V chez ces patients.
- Il n’est pas impossible que le pré-traitement par IEC soit nécessaire à l’obtention d’un bénéfice sous S/V, et notamment chez les patients les plus congestifs.
- Le S/V ne fonctionne pas dans l’ICFEP et il n’y a aucune raison de l’utiliser dans cette forme d’IC (on peut – on doit – discuter de ce qu’est réellement l’ICFEP, de la pertinence de la classification actuelle, de l’hétérogénéité de ce cadre nosologique ; toujours est-il qu’en l’état actuel de nos connaissances, le S/V ne fonctionne pas dans ce cadre)
- La question qui n’est pas formellement tranchée est celle des patients ayant une IC à FEVG intermédiaire (entre 40 et 50%). Néanmoins PARAGON et PARALLAX ont inclus des patients avec une FEVG supérieur à 45% et 40% respectivement, donc pour partie des patients avec une IC à FEVG intermédiaire. Et si dans PARAGON le sous-groupe ayant une FEVG entre 45 % et 57% bénéficie du S/V contrairement aux patients ayant une FEVG supérieure à 57%, il s’agit d’une analyse de sous-groupe d’une étude négative qui doit être confirmé par une étude randomisé dans cette population spécifique. Surtout que dans PARALLAX, il n’y a aucun bénéfice au S/V que la FEVG soit entre 40 et 60% ou supérieure à 60%. Il n’est pas sûr qu’un essai spécifique étudiant le S/V dans l’IC à FEVG il arrive un jour ; mon avis est que, sauf cas ponctuels s’approchant d’un tableau d’ICFEA, le S/V ne doit pas être utilisé quand le FEVG est supérieure à 40 %.
Merci pour cette belle mise au point et révision de la méthodologie des essais cliniques.
J’aimeJ’aime
J’aimerai bien connaitre votre avis sur la dapaglifozine et empaglifozine ?Je vois une force de conviction evidente à démontrer que les IEC valent mieux que le sacubitril Valsartan alors que le SV agit en plus sur la voie des peptides natriurétiques et ont démontrés leur supériorité vs IEC (publié dans le NE) et surtout montre un regain de qualité de vie évident que m’expriment les patients. Très peu de commentaires de votre part de la 1ère ligne des glifozines qui d’un point de vue design d’étude se comparent au placebo (patient traités par les autres traitements recommandés) avec significativité plus simple à atteindre que face à un traitement actif. Dire que baisser le NT ProBNP dans PioneerHF n’a pas d’intérêt alors que les réhospitalisations se font tout juste le 1er mois de la sortie d’hospitalisation est là aussi très curieux. Le NT ProBNP est un critère de mauvais pronostic reconnu par tous. Plus on l’abaisse vite et mieux c’est sur le pronostic.
J’aimeJ’aime
Bonjour
Merci pour votre commentaire. et mes excuses pour le retard de validation et de réponse
J’ai un billet en chantier sur le sujet des gliflozines depuis des mois, que je n’arrive pas à avancer/finir faute de temps (c’est un peu Sisyphe avec les publications itératives, le passage de l’ESC n’ayant rien arrangé…).
En attendant que j’arrive au bout de ce travail, ce que je peux dire c’est que mon avis est que les gliflozines ayant été testées « on top of » IEC/BB/ARM, chez des patients qui ne sont pas des IC tout venant mais symptomatiques malgré une prise en charge optimale, alors il convient de les mettre dans ce contexte. De très nombreux patients sont tout à fait amélioré par le traitement « de base » avec normalisation des peptides, améliorations de la FEVG et des symptomes (voir par exemple Nauta et al. Netherlands Heart Journal 2021:29;383–393). Surtout si en plus du traitement pharmacologique on ajoute la réadaptation qui devrait être systématique mais ne l’est que rarement.
Le fait des KOL poussent à l’usage en première ligne de molécules onéreuses en dehors du contexte dans lequel elles ont été testée, sur la base d’études méthodologiquement foireuses, ne veut pas dire que c’est vrai.
Pour vos commentaires sur le S/V : je ne dis pas que les IEC valent mieux que le S/V. Le S/V est un très bon médicament quand on l’utilise dans les indications pour lesquelles il a été testé et approuvé, et je l’utilise moi-même régulièrement (je l’ai encore prescrit hier chez un patient symptomatique sous IEC/BB/ARM). En dehors de PARADIGM, dès qu’on a une étude avec critère de jugement clinique, le S/V ne fait pas mieux que les IEC. C’est une simple observation des données disponibles. En dehors du critère primaire d’une étude, tout autre résultat n’est qu’exploratoire est certainement pas à prendre comme réalité. Les hospitalisation dans PIONEER-HF sont un critère secondaire. Si le S/V marche si bien que ça, il ne devrait pas y avoir de problème à faire une étude randomisée dont le critère primaire est la baisse des réhospitalisations. C’est un spin classique mais méthodologiquement faux de faire passer une critère secondaire clinique comme le résultat principal d’une étude basée sur un surrogate endpoint. Je ne peux non plus manquer de souligner que toute intervention ayant un effet placebo, si vous êtes intimement convaincu du traitement, le patient se sentira évident mieux, indépendamment de l’effet intrinsèque de la molécule. L’expérience personnelle n’est certainement pas la preuve d’une efficacité même si elle est en revanche un composant indispensable de la pratique médicale basée sur les données publiées (EBM).
Le fait qu’il agisse sur une voie complémentaire ou qu’il fasse baisser le NT-pro BNP, c’est intéressant en termes de réflexion, mais ce n’est pas ce qui améliore le pronostic des patients. Le S/V fait baisser le NT-proBNP dans l’ICFEP mais n’apporte aucun bénéfice clinique. On ne soigne pas les patients avec des chiffres. la baisse des peptides natriurétiques n’est pas un objectif de traitement ; c’est parce que les patients s’améliorent que les peptides baissent. Avec ce raisonnement basé sur des critères intermédiaires, la flécaine diminuant les ESV dans la cardiopathie ischémique ou les alpha-bloquant la pression artérielle, pourquoi ne pas l’utiliser à large échelle « pour le bien des patients »
J’aimeJ’aime